- 雷达液位计料位计系列产品
- 压力/液位/差压/密度变送器
- 液位仪表系列
- 流量仪表系列
- 物位仪表系列
- 液位/温度/压力/流量-报警仪
- PLC/DCS自动化控制监控系统
- GPRS无线远传装置
- 有纸/无纸记录仪系列
- 温度仪表系列
- 分析仪|检测仪|校验仪系列
全国销售热线:400-9280-163
电话:86 0517-86917118
传真:86 0517-86899586
销售经理:1560-1403-222 (丁经理)
139-1518-1149 (袁经理)
业务QQ:2942808253 / 762657048
网址:https://www.harzkj.com
电话:86 0517-86917118
传真:86 0517-86899586
销售经理:1560-1403-222 (丁经理)
139-1518-1149 (袁经理)
业务QQ:2942808253 / 762657048
网址:https://www.harzkj.com
浅析运用等离子清清洗方式清除金属转子流量计叶片表面附着物
发表时间:2016-12-24 点击次数:1301 技术支持:1560-1403-222
本文概述:
流量计在使用过程中,特别是象涡轮流量计、金属管转子流量计,旋进漩涡流量计等有转动叶片部件的仪表,因为可动部件直接与流体介质接触,由于介质中难免会带有杂质污垢易于吸附的颗粒,当这些颗粒吸附到转动部件的表面时,就会直接影响了测量精度,因此如何有效地清除这此污垢和附着物就成为一项重要的工作,对流量计的维护保养成为保证测量数据客观准确的重要手段。通常情况下,有化学试剂清洗法及电磁感应法,但是效果不理想,并且会对部件产生损伤,造成测量精度的下降。本文讨论的是应用等金属流量计叶片清洗方法及等离子清洗技术清洗转子叶片的可操作性。
金属转子流量计作为面积式流量计的一种,具有简单、直观、对介质条件要求低等特点,使其在高温高压、强腐蚀介质等恶劣流量测量环境下被**使用,金属转子流量计的使用较为**,在易燃、易爆、高温、高压和强腐蚀介质环境中都可使用。由于测量检测环境恶劣,为保证测量精度,流量计在投用前准备、使用中的维护和停用后需进行清洗保养。对转子这种微小精密部件的清洗通常使用化学试剂清洗法及电磁感应法。试剂清洗易产生化学反应效应,电磁感应法则产生电化学现象、极化电势和触媒作用,都会影响流量计的测量精度甚至产生二次污染破坏流量计。
等离子清洗是一种全新的高科技技术,利用等离子体轰击被清洗物表面来达到常规清洗方法无法达到的效果。等离子清洗在橡胶塑料、汽车、电子、医疗、纺织纤维乃至航空航天领域已得到**使用。本文将结合等离子清洗的优势特点,讨论等离子清洗转子叶片的可行性及技术优势,为维护金属转子流量计提供安全实用的方式方法。
更多的金属管转子流量计产品选购与选型,请点击链接>>>>>>>
1流量计量技术及流量计
能量转换是一切生产过程和科学实验的基础,流量和压力、温度并列称为三大检测参数。对于已知流体,只要掌握这三个参数就可通过计算得出其具有的能量,所以在能量转换的测量中必须准确测量这三个参数。因此流量计和压力、温度仪表一样成为非常重要的应用。
1.1流量计现状、分类与常用术语
测量流体流量的仪器为流量计,可测量流量的体积和质量。进入新世纪,由于工业发展对能量计算的需求急剧增长,促使流量仪表在测量原理逐渐成熟背景下发展出多种类型稳定可靠的产品。
传统流量计有差压式流量计、容积式流量计、浮子流量计、叶轮式流量计以及插入式流量计。新型流量计有超声波流量计、流体振动流量计、科里奥利质量流量计、热式流量计、电磁流量计等。虽然现有流量计种类众多并各具特点,但是研发一种适应所有测量需求的流量计依然是业界追求的目标。
流量计常用术语有流量范围、仪表系数、流量系数、压力损失、线性度、误差与精度、重复精度。
1.2转子流量计结构
转子流量计主要由表头与主体两部分组成,主体结构如图1所示。单转子流量计主体结构
1.3转子流量计工作原理及误差特性
转子流量计一部分是由下至上逐渐扩大的锥管,另一部分是锥管中可以上下自由移动的转子。工作中被测流体经锥管下端流入冲击转子所产生的作用力将转子托起升高。同时,被测流体流经锥形管壁间的环形断面,从上端流出。转子受力处于平衡状态停留在某一高度位置与所通过的流量有相对应的关系。所以,通过观测转子在锥形管中的位置来求得当时的流量值。
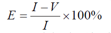
流量计基本误差表示为:
由于实测时V是未知的,所以常用相对误差来表示:

V=Nv式中I流量计示值;V实际通过流量计值;N计量元件旋转次数;v每转一周排除流体体积。
2流量计维护
流量计的维护中对仪器设备元件的清洗是保证其正常工作的重要手段。安全的维护保养工作可保证仪器的测量精度,延长使用寿命,减少对工作、自然环境污染。
2.1等离子清洗技术
等离子清洗plasmacleaner也叫等离子表面处理。等离子体是物质的第四态,不同于物质的固液汽三态,等离子体包括离子、电子、原子、活性基团、激发态的核素(亚稳态)、光子等。等离子清洗即是利用这些活性组分来处理清洗物表面,实现清洁、涂覆、改性、光刻胶灰化的目的。其工作原理是在真空腔室中,射频电源在压力下起辉产生无序的高能量等离子体轰击被清洗物体表面。清洗结构由控制单元、真空腔及真空泵组成。其中控制电源频率有40KHz、13.56MHz、2.45GHz三种,系统控制有半自动控制、电脑控制、PLC控制。真空腔由不锈钢及石英腔两种材质,真空泵也分干泵和油泵两种。
2.2等离子清洗技术优势
⑴经等离子清洗后被清洗物是干燥的,无需像其它清洗方法再进行干燥处理,提高效率。
⑵使操作者远离有害试剂的危害,降低对环境的污染。
⑶避免湿法清洗的直接接触使微小精密部件破损变形。
⑷等离子体的无序性使它可以深入清洗微细孔眼及凹陷部位,对清洗物形状没有要求且清洗效果优于试剂清洗。
⑸工艺流程短,只有几分钟,极大提高效率。
⑹工作真空条件约100Pa,容易达到要求,设备成本低性价比高于有机溶剂洗发。
⑺适用材料**,金属、半导体、氧化物、聚氯乙烯、聚四氟乙烯、聚酰亚胺、聚酯、环氧树脂等高聚物都可以适用等离子体处理。
⑻可改善材料表面性能,提高润湿性和膜粘着力等。
2.3等离子清洗技术应用
清洗设备产生的等离子体在真空环境下的活性能量几乎破坏所有的化学键,在所有暴露表面引起化学反应。清洗过程中,无机气体被激发为等离子态,气相物质吸附在固体表面,被吸附基团与固体表面分子解析形成气相,反应残余物脱离表面。
实验中,金属转子叶片上的水、泥附着物彻底得到清除,去除表面难挥发油污,提高了表面活性。通过测量,转子的重量、显微形状、表面平整度都没有明显变化。使用效果全方位优于试剂清洗法。
3文章结语
等离子清洗技术在橡胶行业应用也非常成熟,实验中借鉴其它行业领域的应用经验,解决了清洗金属转子体积小、形状特殊、易腐蚀变形等难题。使清洗转子叶片达到高效、简单、安全的目的。使离子清洗技术的应用更加普及并拓宽了范围。
上一条:单法兰液位变送器和双法兰液位变送器在测量中的相同和不同点
下一条:在雷达液位计测量过程中可能会出现哪些问题
流量计在使用过程中,特别是象涡轮流量计、金属管转子流量计,旋进漩涡流量计等有转动叶片部件的仪表,因为可动部件直接与流体介质接触,由于介质中难免会带有杂质污垢易于吸附的颗粒,当这些颗粒吸附到转动部件的表面时,就会直接影响了测量精度,因此如何有效地清除这此污垢和附着物就成为一项重要的工作,对流量计的维护保养成为保证测量数据客观准确的重要手段。通常情况下,有化学试剂清洗法及电磁感应法,但是效果不理想,并且会对部件产生损伤,造成测量精度的下降。本文讨论的是应用等金属流量计叶片清洗方法及等离子清洗技术清洗转子叶片的可操作性。
金属转子流量计作为面积式流量计的一种,具有简单、直观、对介质条件要求低等特点,使其在高温高压、强腐蚀介质等恶劣流量测量环境下被**使用,金属转子流量计的使用较为**,在易燃、易爆、高温、高压和强腐蚀介质环境中都可使用。由于测量检测环境恶劣,为保证测量精度,流量计在投用前准备、使用中的维护和停用后需进行清洗保养。对转子这种微小精密部件的清洗通常使用化学试剂清洗法及电磁感应法。试剂清洗易产生化学反应效应,电磁感应法则产生电化学现象、极化电势和触媒作用,都会影响流量计的测量精度甚至产生二次污染破坏流量计。
等离子清洗是一种全新的高科技技术,利用等离子体轰击被清洗物表面来达到常规清洗方法无法达到的效果。等离子清洗在橡胶塑料、汽车、电子、医疗、纺织纤维乃至航空航天领域已得到**使用。本文将结合等离子清洗的优势特点,讨论等离子清洗转子叶片的可行性及技术优势,为维护金属转子流量计提供安全实用的方式方法。
更多的金属管转子流量计产品选购与选型,请点击链接>>>>>>>
1流量计量技术及流量计
能量转换是一切生产过程和科学实验的基础,流量和压力、温度并列称为三大检测参数。对于已知流体,只要掌握这三个参数就可通过计算得出其具有的能量,所以在能量转换的测量中必须准确测量这三个参数。因此流量计和压力、温度仪表一样成为非常重要的应用。
1.1流量计现状、分类与常用术语
测量流体流量的仪器为流量计,可测量流量的体积和质量。进入新世纪,由于工业发展对能量计算的需求急剧增长,促使流量仪表在测量原理逐渐成熟背景下发展出多种类型稳定可靠的产品。
传统流量计有差压式流量计、容积式流量计、浮子流量计、叶轮式流量计以及插入式流量计。新型流量计有超声波流量计、流体振动流量计、科里奥利质量流量计、热式流量计、电磁流量计等。虽然现有流量计种类众多并各具特点,但是研发一种适应所有测量需求的流量计依然是业界追求的目标。
流量计常用术语有流量范围、仪表系数、流量系数、压力损失、线性度、误差与精度、重复精度。
1.2转子流量计结构
转子流量计主要由表头与主体两部分组成,主体结构如图1所示。单转子流量计主体结构
1.3转子流量计工作原理及误差特性
转子流量计一部分是由下至上逐渐扩大的锥管,另一部分是锥管中可以上下自由移动的转子。工作中被测流体经锥管下端流入冲击转子所产生的作用力将转子托起升高。同时,被测流体流经锥形管壁间的环形断面,从上端流出。转子受力处于平衡状态停留在某一高度位置与所通过的流量有相对应的关系。所以,通过观测转子在锥形管中的位置来求得当时的流量值。
流量计基本误差表示为:
由于实测时V是未知的,所以常用相对误差来表示:

V=Nv式中I流量计示值;V实际通过流量计值;N计量元件旋转次数;v每转一周排除流体体积。
2流量计维护
流量计的维护中对仪器设备元件的清洗是保证其正常工作的重要手段。安全的维护保养工作可保证仪器的测量精度,延长使用寿命,减少对工作、自然环境污染。
2.1等离子清洗技术
等离子清洗plasmacleaner也叫等离子表面处理。等离子体是物质的第四态,不同于物质的固液汽三态,等离子体包括离子、电子、原子、活性基团、激发态的核素(亚稳态)、光子等。等离子清洗即是利用这些活性组分来处理清洗物表面,实现清洁、涂覆、改性、光刻胶灰化的目的。其工作原理是在真空腔室中,射频电源在压力下起辉产生无序的高能量等离子体轰击被清洗物体表面。清洗结构由控制单元、真空腔及真空泵组成。其中控制电源频率有40KHz、13.56MHz、2.45GHz三种,系统控制有半自动控制、电脑控制、PLC控制。真空腔由不锈钢及石英腔两种材质,真空泵也分干泵和油泵两种。
2.2等离子清洗技术优势
⑴经等离子清洗后被清洗物是干燥的,无需像其它清洗方法再进行干燥处理,提高效率。
⑵使操作者远离有害试剂的危害,降低对环境的污染。
⑶避免湿法清洗的直接接触使微小精密部件破损变形。
⑷等离子体的无序性使它可以深入清洗微细孔眼及凹陷部位,对清洗物形状没有要求且清洗效果优于试剂清洗。
⑸工艺流程短,只有几分钟,极大提高效率。
⑹工作真空条件约100Pa,容易达到要求,设备成本低性价比高于有机溶剂洗发。
⑺适用材料**,金属、半导体、氧化物、聚氯乙烯、聚四氟乙烯、聚酰亚胺、聚酯、环氧树脂等高聚物都可以适用等离子体处理。
⑻可改善材料表面性能,提高润湿性和膜粘着力等。
2.3等离子清洗技术应用
清洗设备产生的等离子体在真空环境下的活性能量几乎破坏所有的化学键,在所有暴露表面引起化学反应。清洗过程中,无机气体被激发为等离子态,气相物质吸附在固体表面,被吸附基团与固体表面分子解析形成气相,反应残余物脱离表面。
实验中,金属转子叶片上的水、泥附着物彻底得到清除,去除表面难挥发油污,提高了表面活性。通过测量,转子的重量、显微形状、表面平整度都没有明显变化。使用效果全方位优于试剂清洗法。
3文章结语
等离子清洗技术在橡胶行业应用也非常成熟,实验中借鉴其它行业领域的应用经验,解决了清洗金属转子体积小、形状特殊、易腐蚀变形等难题。使清洗转子叶片达到高效、简单、安全的目的。使离子清洗技术的应用更加普及并拓宽了范围。
上一条:单法兰液位变送器和双法兰液位变送器在测量中的相同和不同点
下一条:在雷达液位计测量过程中可能会出现哪些问题
- 相关文章
-
- 雷达液位计的作用 【2025-11-18】
- 雷达液位计使用注意事项 【2025-11-18】
- 雷达液位计安装注意事项全解析 【2025-11-14】
- 雷达液位计工作原理及相关说明 【2025-11-14】
- 单法兰液位变送器采购 【2023-12-22】
- 差压变送器结构原理及在自动化生产控制系统的应用分析 【2019-04-03】
- 双法兰液位变送器调零方法 【2023-12-23】
- 双法兰差压变送器等液位计在高温蜡油介质测量中的应用 【2019-06-04】
- 正确认识双法兰液位计膜片腐蚀对于工业生产的影响 【2018-12-07】
- 我国液位计、液位变送器等测量仪表市场未来的潜力分析 【2020-07-23】








