- 雷达液位计料位计系列产品
- 压力/液位/差压/密度变送器
- 液位仪表系列
- 流量仪表系列
- 物位仪表系列
- 液位/温度/压力/流量-报警仪
- PLC/DCS自动化控制监控系统
- GPRS无线远传装置
- 有纸/无纸记录仪系列
- 温度仪表系列
- 分析仪|检测仪|校验仪系列
电话:86 0517-86917118
传真:86 0517-86899586
销售经理:1560-1403-222 (丁经理)
139-1518-1149 (袁经理)
业务QQ:2942808253 / 762657048
网址:https://www.harzkj.com
金属管浮子流量计的产品优势及在使用中刻度转换问题的实例分析
金属管浮子流量计的产品优势:
金属管浮子流量计在目前的生产和生活中应用得已经较为**,由于测量原理的差异,相比较其他类型的流量仪表,金属管浮子流量计还有特独的优势,为了让它稳定的工作,用户应将它安装在无强电、无磁场干扰的环境中,本文就此跟大家作一个分享。金属管浮子流量计的优势表现为以下几下方面:
1、耐高温、耐高压、耐腐蚀
可测量高温、高压流体是金属管浮子流量计具有的主要优点,它能测量温度高达400℃和压力高为70MPa的液体和气体流量。在这种场合下已不能用人眼来观察浮子的位置,而采用磁耦耐腐型感应的显示系统指示流量。流量计本身材料往往采用不锈钢,有些衬以工程塑料,可测量腐蚀性流体。
2、应用范围广
可根据流量工艺参数要求进行灵活设计。例如,在低温条件下,若介质趋向于结晶和凝固,或为防止,低温流体从外部吸热,或当管路中温度高于室温的流体流过仪表,因温度下降产生而引起浮子动作不良、或流体粘度有显著变化影响测量的特种需求,可采用夹套保温设计的流量计;流量脉动较大的,可选用有阻尼措施的流量计。
3、用于测量的部分可选用不同的材质来适应不同场合的需求。
4、因其良好的抗热性和耐压性可以在恶劣的环境中应用。
5、采用新型磁耦合结构设计使得传输信号更加稳定,提高了工作效率。

关于金属管浮子流量计的刻度检定问题的说明:
金属管浮子流量计的刻度一般是在出厂时用水、空气或者其他介质在标准状态下进行标定的;另外,在实验室的检定过程中,由于环境影响以及实验条件的限制,实际检定条件一般也达不到流量计标定状态,因此为了能够在实验室状态对流量计进行检定,就需要对实验条件下标定的流量计进行刻度流量的换算。
1 工作原理
金属管浮子流量计是在一个锥形管内装有上下移动的浮子,并且始终保持浮子前后压降不变,通过改变浮子与锥形管壁之间的流通面积来改变流量,因此也称为恒压降流量计或变面积流量计 。当流体流经锥形管时,由于浮子的节流降压作用,在浮子的上下游产生一个压力降,此压力降与浮子大截面积的乘积即为浮子受到的上升力,同时由于被测流体流经浮子表面时也会产生粘性力,其方向与上升力相同,当两者的合力大于浮子的自重力时,浮子便会继续上升;然而随着浮子的上升浮子与锥形管壁之间的环隙面积的增大,相同流量下流体流速便会减小,浮子上下端面的压力差随即会降低,因此作用于浮子的上升力与粘性力减小。在浮子移动过程中,当上升力、粘性力和重力相平衡时浮子便会静止,保持在平衡位置,此时便可以读出浮子的瞬时流量值。这就是金属管浮子流量计工作的基本原理—等压力降原理。
2 流量方程
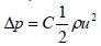
当流体流经金属管浮子流量计锥形管时,浮子的上升高度与流量存在一定的对应关系。在一定流量下浮子受合力为零,保持在平衡位置,根据力平衡进行分析:(1)浮子受到的上升力F1。浮子上下游压力差&p与环形通道中流体流速的平方成正比:
因此浮子所受上升力为
式中Af 为浮子的迎流面积,单位为m2,u 为流体的流速,单位为m/s, ? 为流体密度,单位为kg/m,C 为阻力系数,无量纲,受介质粘度以及浮形状等因素影响。(2)浮子所受浮力是流体密度与浮子体积的函数,有
,式中:f V 为浮子的体积,单位为m,g 为当地重力加速度,单位为m/s2。
(3)浮子的自重
。当浮子受合力为零时处于平衡位置,有
。进而得到
可以看出,浮子无论在什么位置保持平衡,流体的流速是个定值,因此,体积流量与环形流通面积成正比。则有体积流量计算公式:
其中: V q —体积流量,单位m/h;?F —流量计的环形流通面积,单位为m2。
3 刻度转换方法
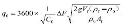
标准状态下标定的金属管浮子流量计的介质密度、阻力系数、体积流量分别用0 ? 、0 C 、q0 表示,则体积流量可表示为
实际标定介质的密度、浮子阻力系数、体积流量用? 、C 、q 表示,则体积流量为
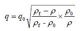
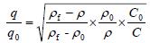
因此,实际标定介质的体积流量与标准状态下介质的体积流量之间有下述关系:![]()
当标准状态下的标定介质与实际标定时介。质状况比较接近,因此粘度相差不大时,可以不考虑浮子阻力系数的影响。因此有:

4 刻度转换实例分析
实验室现有一台DN50 口径,准确度等级为4.0 级,浮子材料为不锈钢,标准状态(20℃)下标定介质为乙醇的金属管浮子流量计,其刻度流量范围为(2~20)m/h。在实验室条件下,由于条件限制只能用水流量标准装置进行标定,装置编号200904018,测量范围为DN(15~50)mm,流量范围为(0.12~60)m/h,先后使用标准表法和称重法对该金属管浮子流量计的5m/h 流量点分别进行6 次标定。测量过程中水温保持(23.1±0.1)℃,进水口处水压保持在180kPa~195kPa 范围。装置使用标准表为电磁流量计,*先次测量标准表读数为3.914 m/h,二次为3.918 m/h,第三次为3.917 m/h,第四次为3.920m/h,第五次为3.919 m/h,第六次为3.916 m/h。称重法测量6次的数据分别为:*先次测量时间为61.28 秒,电子称读数为67.64kg,二次测量时间为62.33 秒,电子称读数为68.08kg,第三次测量时间为61.99 秒,电子称读数为67.96kg,第四次测量时间为62.57 秒,电子称读数为68.44kg,第五次测量时间为62.45 秒,电子称读数为68.42kg,第六次测量时间为61.29 秒,电子称读数为67.69kg。
通过查技术手册可知,乙醇密度为789.2kg/m,20℃时乙醇粘度为1.2×10-3Pa·s,水温为23.1℃时水的密度为997.513kg/m,动力粘度为0.9358×10-3Pa·s,浮子材料为不锈钢,密度为7920kg/m。
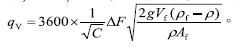
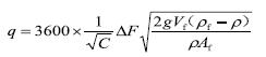
当浮子稳定在平衡位置5m/h 处时,由标准表读数得出流量平均值为q1=3.92m/h。由电子称的读数得出称重法流量平均值为q2=3.96m/h。另外,两种介质的粘度相差不大,因此可以不考虑两种介质中浮子的阻力系数对流量的影响,另外还可以推算出刻度流量的理论计算值为:![]()
由于该金属管浮子流量计的准确度等级为4.0 级,因此在5m/h 流量点换算后的流量取值范围为3.84×(1±4%)m/h,即(3.69~3.99)m/h。通过上述实验以及对试验数据的分析可知,在介质粘度相差不大时,可以对金属管浮子流量计刻度流量进行换算,其实验结果满足理论计算值的允许范围。但是当实际标定的介质与流量计出厂标定时介质状态相差较大时,浮子阻力系数的影响不能忽略,则需要考虑介质粘度的影响。
上一条:楔形智能流量计在钢厂回转窑焦炉煤气测量中的应用说明
下一条:RZ-VS系列V锥流量计连接智能流量积算仪如何保证蒸汽流量的准确计量
- 相关文章
-
- 雷达液位计的作用 【2025-11-18】
- 雷达液位计使用注意事项 【2025-11-18】
- 雷达液位计安装注意事项全解析 【2025-11-14】
- 雷达液位计工作原理及相关说明 【2025-11-14】
- 液位变送器常见故障 【2023-12-28】
- 磁翻板液位计如何通过控制开关实现高低液位报警的功能 【2018-06-05】
- 电磁流量计工艺处理方法与电极四氟衬里对流体噪声影响 【2017-10-17】
- 温度变送器哪家** 【2024-01-03】
- 磁翻板防爆远传液位变送器 【2023-12-18】
- 法兰液位变送器检定依据 【2023-12-28】








