- 雷达液位计料位计系列产品
- 压力/液位/差压/密度变送器
- 液位仪表系列
- 流量仪表系列
- 物位仪表系列
- 液位/温度/压力/流量-报警仪
- PLC/DCS自动化控制监控系统
- GPRS无线远传装置
- 有纸/无纸记录仪系列
- 温度仪表系列
- 分析仪|检测仪|校验仪系列
全国销售热线:400-9280-163
电话:86 0517-86917118
传真:86 0517-86899586
销售经理:1560-1403-222 (丁经理)
139-1518-1149 (袁经理)
业务QQ:2942808253 / 762657048
网址:https://www.harzkj.com
电话:86 0517-86917118
传真:86 0517-86899586
销售经理:1560-1403-222 (丁经理)
139-1518-1149 (袁经理)
业务QQ:2942808253 / 762657048
网址:https://www.harzkj.com
导致孔板流量计测量结果产生误差的因素有哪些
发表时间:2018-12-03 点击次数:1518 技术支持:1560-1403-222
一、孔板流量计组成部分
孔板流量计是将标准孔板与差压变送器配套组成的差压式流量装置,可测量气体、蒸汽、液体及天然气的流量,**应用于石油、化工、冶金、电力、供热、供水等领域的过程控制和测量。如图1所示。
孔板流量计组成部分

图1孔板流量计组成部分
1-标准孔板 2-引压管路 3-三阀组 4-差压计
二、孔板流量计的工作原理
1、测量原理
孔板流量计是以相似原理为根据,以实验数据为基础的瞬时流量计。天然气孔板流量计基于流体在通过设置于流通管道上的流动阻力件时产生的压力差与流体流量之间的确定关系,通过测量差压值求得流体流量。
2、流量方程
如图2所示,根据流动连续性方程(质量守恒定律)和伯努利方程(能量守恒定律),天然气孔板流量计的流量方程为:
孔板流量计的流量方程
公式(1)
式中:Q为体积流量;β为直径比,β=d/D;d为工作条件下节流件的孔径;D为工作条件下上游管道内径;Ao为节流件的开孔截面积; C 为流出系数;ΔP为节流装置前后实际测得的差压;p为节流装置上游流体密度;ε为可膨胀系数。
流体流经节流件时压力和流速变化情况

图2 流体流经节流件时压力和流速变化情况
3、流动状态的要求
孔板流量计的流出系数 C 是在特定的实验室参比条件下,通过大量的实验数据推导得出的计算方法。因此,为了保证测量精度,对于气流流动状态应符合如下四条要求:
3.1 流体必须是牛顿流体,在物理学和热力学上是均匀的、单相的,或者可认为是单相的流体。
3.2 流体流动是稳定流或随时间变化不大的缓变流。
3.3 流体必须满管流,流经节流件前流动应达到充分紊流,流束平行于管道轴线且无旋转,流经节流件时不发生相变。
3.4 流体通过孔板节流装置的流动,必须保持孔板下游静压与孔板上游静压之比不小于0.75,管道雷诺数Re≥5000(角接取压)和管道雷诺数Re≥1260β2D(法兰取压)。
三、孔板流量计不确定度分析
由于存在取压方式(角接取压、法兰取压)的影响;流量计算假设条件等因素的影响;孔板加工、安装等技术要求。孔板流量计的使用和流量计算必须严格遵守规范规定,否则,其流量测量的不确定度无法计算或误差较大。
根据天然气孔板流量计的流量方程(公式1)可知,影响流量测量的精度主要由流出系数C、可膨胀系数、差压和天然气的物性。
1、流出系数不确定度变化
流出系数C是为了补偿任意两点的摩擦影响所列入的一个经验系数,它与节流件的几何形状、取压位置及雷诺数等有关,通常由试验确定。当直管段长度符合SY/T6143-2004的规定的节流前10D和节流后4D长的测量管,圆度满足不大于±0.3%的标准规定,则流出系数不确定度δc/c只随β值的不同而不同。此时,当β≤0.6时,则δc/c=±0.6%;当β<0.60时,则δc/c=±β%。
2、天然气可膨胀系数不确定度变化
当所测天然气流经孔板时,由于流速和压力的改变而伴随着密度的改变(气体压力从P1降为p2,因膨胀而使密度减小),为适应此种变化以修正因假设密度等于常量而对流量引起的偏差,因此必须加人一个系数,这个系数被称为可膨胀系数ε。

孔板流量计公式
公式(2)
对于天然气而言,可膨胀性系数的不确定度为:δε/ε=±4(Δp/pi)%
它与孔板流量计实测差压Δp成正比,与静压p1成反比。目前在天然气计量中差压值一般在50000Pa之内,静压在1-1OMPa范围内,因此 δε/ε小为±0.00002%,大为±0.2%或更大。
3、天然气密度测量不确定度δρ/ρ
密度取值按测量方法的不同而异,其一为直接密度测量,由密度计直接决定其值;天然气密度测量的不确定度δρ/ρ小为±1.013%,大为±1.571%或更大。
4、差压P的不确定度
标准SY/T6143—2004中的流量实用公式在应用能量方程导出过程中,规定测量管道水平(包括上、下游侧的测量管)。因此,其上、下游取压口的位置差为零,差压Δp则是在孔板上、下游侧所规定的取压口位置上量得的静压之差。
流量计差压公式
公式(3)
式中:ζΔp为差压计的精度等级;Δpk为差压计的量程;Δpf为预定差压测量值。
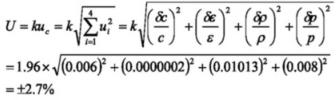
由此可见,当所用差压计的精度为0.5级,量程为0~600kpa,预设差压测景值为300kpa时,对于天然气孔板流景计,置信概率为95%的测量总不确定度为:
天然气流量测量的总不确定度,据SY/T6143-2004规定,实际上就是测量系统的测量值与真值比较,置信概率为95%的准确度,其测量的总不确定度δQn/Qn小为±0.82%,大为±4.52%或更大。
四、孔板流量计使用中的测量误差分析
在实际应用时,对于孔板流量计如果使用不当,会造成很大的测量误差,有时可达到20%左右。在流量计的使用中,如何减少其测量误差,必须考虑流量的测量原理和结构形式,注意使用条件和测量对象的物理性质是否与所选用的流量计性能相适应。下面就其测量误差进行分析:
1、流量计算方程描述流体是充满圆管的、充分发展的定常流。若流动状态真实性无法确定,如果仍按照原有的仪表常数推算流量,将与实际流量存在误差。
2、天然气以甲烷为主加上乙烷和其他少量的轻烃,真实相对密度小于或等于0.75。由于被测介质实际特性的不确定因素,以及实际物性变化影响仪表正常工作等对流量测量的不确定度产生影响。
3、孔板的结构设计、 加工、 装配、安装、检验和使用必须符合标准规定的全部技术要求。由于各个装置自身及环境条件因素引起的不确定因素。
4、孔板安装不正确
管道水平安装,如果孔板开孔中心与管道中心线不同心;如果在安装过程中存在引压管堵塞及垫片等凸出物,则会造成孔板前后压差测量不准确,从而造成测量误差。
5、孔板入口边缘被磨损
在使用中,由于流体的磨蚀作用,使孔板的人口边缘变钝,被磨成圆形入口边缘。结果是在相同的流量下,孔口收缩系数变大,造成差压发生变化,造成测量误差。
6、孔板表面的结垢
长期使用时,孔板表面结据,使孔板的流通面积变小,从而造成差压增大,使流量计测量值大于实际值,影响计量精度。
7、差压变送器零点漂移和量程设置不当
由于时间较长,变送器的零点会发生漂移,这时差压变送器的输人和输出信号发生变化。若不及时调整,会造成实测流量值偏低或偏高。
上一条:干簧管的哪几个重要因素决定了远传磁翻板液位计的性能
下一条:电磁流量计等流量仪表与管道连接有哪几种方式
孔板流量计是将标准孔板与差压变送器配套组成的差压式流量装置,可测量气体、蒸汽、液体及天然气的流量,**应用于石油、化工、冶金、电力、供热、供水等领域的过程控制和测量。如图1所示。
孔板流量计组成部分

图1孔板流量计组成部分
1-标准孔板 2-引压管路 3-三阀组 4-差压计
二、孔板流量计的工作原理
1、测量原理
孔板流量计是以相似原理为根据,以实验数据为基础的瞬时流量计。天然气孔板流量计基于流体在通过设置于流通管道上的流动阻力件时产生的压力差与流体流量之间的确定关系,通过测量差压值求得流体流量。
2、流量方程
如图2所示,根据流动连续性方程(质量守恒定律)和伯努利方程(能量守恒定律),天然气孔板流量计的流量方程为:
孔板流量计的流量方程
公式(1)
式中:Q为体积流量;β为直径比,β=d/D;d为工作条件下节流件的孔径;D为工作条件下上游管道内径;Ao为节流件的开孔截面积; C 为流出系数;ΔP为节流装置前后实际测得的差压;p为节流装置上游流体密度;ε为可膨胀系数。
流体流经节流件时压力和流速变化情况

图2 流体流经节流件时压力和流速变化情况
3、流动状态的要求
孔板流量计的流出系数 C 是在特定的实验室参比条件下,通过大量的实验数据推导得出的计算方法。因此,为了保证测量精度,对于气流流动状态应符合如下四条要求:
3.1 流体必须是牛顿流体,在物理学和热力学上是均匀的、单相的,或者可认为是单相的流体。
3.2 流体流动是稳定流或随时间变化不大的缓变流。
3.3 流体必须满管流,流经节流件前流动应达到充分紊流,流束平行于管道轴线且无旋转,流经节流件时不发生相变。
3.4 流体通过孔板节流装置的流动,必须保持孔板下游静压与孔板上游静压之比不小于0.75,管道雷诺数Re≥5000(角接取压)和管道雷诺数Re≥1260β2D(法兰取压)。
三、孔板流量计不确定度分析
由于存在取压方式(角接取压、法兰取压)的影响;流量计算假设条件等因素的影响;孔板加工、安装等技术要求。孔板流量计的使用和流量计算必须严格遵守规范规定,否则,其流量测量的不确定度无法计算或误差较大。
根据天然气孔板流量计的流量方程(公式1)可知,影响流量测量的精度主要由流出系数C、可膨胀系数、差压和天然气的物性。
1、流出系数不确定度变化
流出系数C是为了补偿任意两点的摩擦影响所列入的一个经验系数,它与节流件的几何形状、取压位置及雷诺数等有关,通常由试验确定。当直管段长度符合SY/T6143-2004的规定的节流前10D和节流后4D长的测量管,圆度满足不大于±0.3%的标准规定,则流出系数不确定度δc/c只随β值的不同而不同。此时,当β≤0.6时,则δc/c=±0.6%;当β<0.60时,则δc/c=±β%。
2、天然气可膨胀系数不确定度变化
当所测天然气流经孔板时,由于流速和压力的改变而伴随着密度的改变(气体压力从P1降为p2,因膨胀而使密度减小),为适应此种变化以修正因假设密度等于常量而对流量引起的偏差,因此必须加人一个系数,这个系数被称为可膨胀系数ε。

孔板流量计公式
公式(2)
对于天然气而言,可膨胀性系数的不确定度为:δε/ε=±4(Δp/pi)%
它与孔板流量计实测差压Δp成正比,与静压p1成反比。目前在天然气计量中差压值一般在50000Pa之内,静压在1-1OMPa范围内,因此 δε/ε小为±0.00002%,大为±0.2%或更大。
3、天然气密度测量不确定度δρ/ρ
密度取值按测量方法的不同而异,其一为直接密度测量,由密度计直接决定其值;天然气密度测量的不确定度δρ/ρ小为±1.013%,大为±1.571%或更大。
4、差压P的不确定度
标准SY/T6143—2004中的流量实用公式在应用能量方程导出过程中,规定测量管道水平(包括上、下游侧的测量管)。因此,其上、下游取压口的位置差为零,差压Δp则是在孔板上、下游侧所规定的取压口位置上量得的静压之差。
流量计差压公式
公式(3)
式中:ζΔp为差压计的精度等级;Δpk为差压计的量程;Δpf为预定差压测量值。
由此可见,当所用差压计的精度为0.5级,量程为0~600kpa,预设差压测景值为300kpa时,对于天然气孔板流景计,置信概率为95%的测量总不确定度为:
天然气流量测量的总不确定度,据SY/T6143-2004规定,实际上就是测量系统的测量值与真值比较,置信概率为95%的准确度,其测量的总不确定度δQn/Qn小为±0.82%,大为±4.52%或更大。

四、孔板流量计使用中的测量误差分析
在实际应用时,对于孔板流量计如果使用不当,会造成很大的测量误差,有时可达到20%左右。在流量计的使用中,如何减少其测量误差,必须考虑流量的测量原理和结构形式,注意使用条件和测量对象的物理性质是否与所选用的流量计性能相适应。下面就其测量误差进行分析:
1、流量计算方程描述流体是充满圆管的、充分发展的定常流。若流动状态真实性无法确定,如果仍按照原有的仪表常数推算流量,将与实际流量存在误差。
2、天然气以甲烷为主加上乙烷和其他少量的轻烃,真实相对密度小于或等于0.75。由于被测介质实际特性的不确定因素,以及实际物性变化影响仪表正常工作等对流量测量的不确定度产生影响。
3、孔板的结构设计、 加工、 装配、安装、检验和使用必须符合标准规定的全部技术要求。由于各个装置自身及环境条件因素引起的不确定因素。
4、孔板安装不正确
管道水平安装,如果孔板开孔中心与管道中心线不同心;如果在安装过程中存在引压管堵塞及垫片等凸出物,则会造成孔板前后压差测量不准确,从而造成测量误差。
5、孔板入口边缘被磨损
在使用中,由于流体的磨蚀作用,使孔板的人口边缘变钝,被磨成圆形入口边缘。结果是在相同的流量下,孔口收缩系数变大,造成差压发生变化,造成测量误差。
6、孔板表面的结垢
长期使用时,孔板表面结据,使孔板的流通面积变小,从而造成差压增大,使流量计测量值大于实际值,影响计量精度。
7、差压变送器零点漂移和量程设置不当
由于时间较长,变送器的零点会发生漂移,这时差压变送器的输人和输出信号发生变化。若不及时调整,会造成实测流量值偏低或偏高。
上一条:干簧管的哪几个重要因素决定了远传磁翻板液位计的性能
下一条:电磁流量计等流量仪表与管道连接有哪几种方式
- 相关文章
-
- 雷达液位计的作用 【2025-11-18】
- 雷达液位计使用注意事项 【2025-11-18】
- 雷达液位计安装注意事项全解析 【2025-11-14】
- 雷达液位计工作原理及相关说明 【2025-11-14】
- 静压式液位变送器测量量程 【2023-12-28】
- 国家质检总局、国家标准委发布315项国家标准,内容涉及工业自动化 【2016-10-17】
- 温度变送器哪里有卖的啊 【2024-01-05】
- 停机后的智能电磁流量计如何做到正确保养的几个要点 【2015-04-28】
- 压力变送器二次液位表接线 【2024-01-06】
- 压力变送器测算液位 【2024-01-06】








