- 雷达液位计料位计系列产品
- 压力/液位/差压/密度变送器
- 液位仪表系列
- 流量仪表系列
- 物位仪表系列
- 液位/温度/压力/流量-报警仪
- PLC/DCS自动化控制监控系统
- GPRS无线远传装置
- 有纸/无纸记录仪系列
- 温度仪表系列
- 分析仪|检测仪|校验仪系列
全国销售热线:400-9280-163
电话:86 0517-86917118
传真:86 0517-86899586
销售经理:1560-1403-222 (丁经理)
139-1518-1149 (袁经理)
业务QQ:2942808253 / 762657048
网址:https://www.harzkj.com
电话:86 0517-86917118
传真:86 0517-86899586
销售经理:1560-1403-222 (丁经理)
139-1518-1149 (袁经理)
业务QQ:2942808253 / 762657048
网址:https://www.harzkj.com
净水厂配水管网电磁流量计和超声波流量计的对比与选择
发表时间:2019-08-01 点击次数:862 技术支持:1560-1403-222
给水工程是城市和工矿企业的一个重要基础设施,必须保证以足够的水量、合格的水质、充裕的水压供应生活用水、生产用水和其它用水,它在人们的生活和生产活动中占有重要地位。净水厂对水源水或不符合用水水质要求的水采取各种办法改善水质,并输至配水管网,是给水系统的重要组成部分。
对净水厂出厂水流量进行测量,不但可以为经济核算和水处理系统的诊断提供依据,还有利于提高城市供水调度的管理水平,加强各个生产环节的合理运行,提高供水安全,降低生产成本。

1、净水厂出厂水特性
给水工程多采用地面水源或地下水,由取水构筑物、输水管(渠)送至净水厂内,经过混凝、沉淀、过滤及消毒等一系列处理,其水质达到国家规定后,通过配水管网送到千家万户。净水厂的出水水质要满足卫生部颁布的《生活饮用水卫生标准》(GB5749-2006)和建设部发布实施的《城市供水水质标准》(CJ/T206-2005)的要求。可见,净水厂出厂水属于导电的清洁液体,水温为常温,pH值约6.5~8.5,大多采用管道输送,管径基本为大口径或特大口径,流速1~2m/s左右,水压基本能满足6层楼直供的需要。
2、流量计选择
流量仪表的选择,除了考虑测量介质特性,还要考虑环境因素、安装条件和经济因素等,见表1。
安装因素:仪表的安装方向、介质流动方向、上下游管道状况、阀门位置、防护性配件、脉动流影响、振动、电气干扰和维护空间等。净水厂出水管管径一般都是大口径或特大口径,水平埋设于地下,设有专门的流量计井,液体单向流动,因为现在用地比较紧张,要求上下游直管段尽量短。
经济方面的费用除考虑仪表的购置费、安装调试费、维护和定期流量校验(或检定)费外,还要考虑运行费用和备用件费等。而运行费用除考虑仪表自身电耗外,还要考虑仪表产生压力损失的泵送能耗费。由于净水厂出水管长期带压运行,这方面的费用是个不可忽视的重要因素。同时净水厂的水量牵扯到商贸结算的问题,仪表的精确度也是一个重要因素,若选用安装费用低但精度低的仪表而造成损失,则是很得不偿失的。
流量计安装处周围环境因素也是很重要的一项考虑内容,主要包括温度、湿度、安全性和电气干扰等。净水厂出厂水流量计多安装于专用的流量计井内,存在被水淹的可能,故zui好采用分体式,传感器需要满足IP68的要求,变送器满足IP65要求即可。
温度变化主要表现为一天早中晚的变化及一年的季节变化,视安装地区不同而差异较大。流量计安装处一般不会有射频干扰或强电磁干扰,也不属于爆炸性危险环境或化学侵蚀气氛,安全性较好。
综合上述各因素,可根据表1流量计初选表进行流量计初选。初选以后,收集流量计样本、技术数据和使用手册,再按性能要求和仪表规范、出厂水特性、安装条件、环境情况和经济因素等进行多方面验证,zui终确定测量仪表。由于全通道、无阻碍的电磁流量计和超声波流量计无压力损失,运行费用zui低,适用于大管径,虽然这两种仪表的初始购置费用、安装费用等与其它仪表相比并无多大优势,但综合考虑运行费用、计量精确度等因素,电磁流量计或超声波流量计用在净水厂出厂水的水量测量目前是zui合适的。但是多普勒超声波流量计主要用于测量含有适量能给出强反射信号的颗粒或气泡的液体,而未做实流标定的仪表测量精度较差,故不应采用。

3、电磁流量计和超声波流量计的比选
对于净水厂出水流量的测量,电磁流量计和超声波流量计均能胜任,这两种流量计都是属于速度式流量计,其优点包括无压力损失、适用管径范围大、精确度高、上下游直管段要求低及产品市场种类多等,但是由于测量原理、对介质特性的要求、传感器结构及设备检定等诸多方面有所不同,在实际应用时就会发现它们还是各有所长,所以需要根据实际情况做多方面的比较,科学合理、经济适用地选择检测仪表。电磁流量计的测量原理如图1所示,其流量方程式如下:
qv=EK
式中:
qv为液体的体积流量,m3/s;
K=4kB/πD,仪表常数;
E=kBDV
感应电动势,V;
k为系数;
B为磁感应强度,T;
D为测量管内径,m;
V—为平均流速,ms。
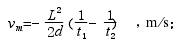
时差法超声波流量计的测量原理如图2所示,其流量方程如下:

式中:
qv为体积流量,m3/s;K=vm/v,流速分布修正系数,即声道上线平均流速vm和面平均流速v之比;

L为超声波在换能器之间传播路径的长度,m;
d为传播路径的轴向分量,m;
t1、t2两个换能器之间超声波的传播时间,s;
D为测量管内径,m。


不只是测量原理的不同,两种仪表在传感器结构、直管段要求等多个方面也存在差别。
综合比较数据可知,对于新建净水厂,出水管管径不是特别大的,电磁流量计在综合对比时有较大优势;而改造工程、管径大及安装环境受限制的时候,宜多使用超声波流量计,若精度要求高时,则多声道超声波流量计是较好的解决方案。
净水厂作为供水系统的一个重要环节,为了满足供水企业内部管理的需求,对出厂水计量仪表的准确度等级、zui大允许误差、重复性、仪表检定和通信功能等也提出了更多、更高的要求。电磁流量计是供水行业中目前使用zui多的流量计,其在水计量行业方面的主导地位一时难以撼动。但是,近年来超声波流量计技术进步速度很快,尤其是在大口径及改造工程中应用较多,正在被越来越多的用户所接受。
上一条:安装温度变送器、压力变送器、流量计需要遵循的一般性原则和技术要领
下一条:V锥流量计产品特点及安装使用时应遵循的要求
- 相关文章
-
- 雷达液位计的作用 【2025-11-18】
- 雷达液位计使用注意事项 【2025-11-18】
- 雷达液位计安装注意事项全解析 【2025-11-14】
- 雷达液位计工作原理及相关说明 【2025-11-14】
- 丹佛斯压力变送器价格 【2023-12-19】
- 液位变送器供应商电话 【2023-12-28】
- 停机后的智能电磁流量计如何做到正确保养的几个要点 【2015-04-28】
- 关于超声波液位计探头(换能器)的结构组成及影响其性能的六个指标 【2020-05-26】
- 投入式液位变送器测量范围 【2023-12-27】
- 液位变送器的选型原则 【2024-01-06】








