- 雷达液位计料位计系列产品
- 压力/液位/差压/密度变送器
- 液位仪表系列
- 流量仪表系列
- 物位仪表系列
- 液位/温度/压力/流量-报警仪
- PLC/DCS自动化控制监控系统
- GPRS无线远传装置
- 有纸/无纸记录仪系列
- 温度仪表系列
- 分析仪|检测仪|校验仪系列
全国销售热线:400-9280-163
电话:86 0517-86917118
传真:86 0517-86899586
销售经理:1560-1403-222 (丁经理)
139-1518-1149 (袁经理)
业务QQ:2942808253 / 762657048
网址:https://www.harzkj.com
电话:86 0517-86917118
传真:86 0517-86899586
销售经理:1560-1403-222 (丁经理)
139-1518-1149 (袁经理)
业务QQ:2942808253 / 762657048
网址:https://www.harzkj.com
高位露天水箱液位计测量系统如何进行合理的防雷及相应处理措施
发表时间:2019-10-19 点击次数:1511 技术支持:1560-1403-222
分析了高位露天山顶水箱液位计 测量系统遭雷击损坏的原因, 通过采用信号电涌保护器和电源电涌保护器等措施, 解决了系统容易遭雷击损坏的难题。
用户企业的生活用水系统设置有2 只水箱, 一只设置在汽机房的房顶, 标高45 m, 另一只设置在厂区的山坡上, 标高48 m。山顶水箱液位计 由装在水箱上的投入式变送器进行测量, 变送器通过200 多米的铠装控制电缆与二次仪表联接组成水位测量系统, 电缆未进行埋地敷设。每当雷雨天时, 山坡上的水箱液位计 变送器、综合水泵房内的二次仪表常因雷击而损坏, 采取铠装电缆铠包接地、二次仪表接地等措施仍不能解决雷击问题。
1 雷击损坏原因分析
雷击损坏仪表有2 种情况, 一种是直接雷击到液位变送器或电缆上, 另一种是由于雷电电磁脉冲在测量系统的电缆上感应出高电压而损坏测量系统。
山顶水箱虽然标高较高, 但不是在山的zui高点, 在离水箱100 多米处还有移动手机基站, 其标高高于水箱, 基站设有防直击雷的避雷针, 水箱水位变送器在避雷针的保护范围内, 所以山顶水箱受直击雷的概率较小。
避雷针的作用是把雷电引向自身, 从而使保护区范围内的被保护对象免遭直接雷击。但避雷针的引雷作用也会增加保护区域雷击概率, 只不过雷击电流通过避雷针引入了地下, 保护范围内的设备雷电流流过的概率大大减小。
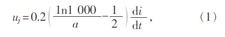
避雷针在把强大的雷击电流引入地下的过程中, 由于雷电流陡度di/dt 的作用, 在其周围金属体内产生感应电压, 即感应脉冲过电压, 其影响范围很大。如一个30 kA 的中等雷落在避雷针上所产生的感应脉冲过电压为:

式中: a 为雷电流引线与被感应导体间的平行距离; di/dt=30/26≈11.5 kA/μs。30 kA 的雷击在避雷针周围导体上耦合出的感应脉冲过电压值如表1 所示。

由表1 可以看出, 避雷针周围500 m 范围内的电子仪表设备都是感应雷破坏的对象, 并可计算出在液位测量系统的电缆上可能会感应出320~840 kV 脉冲过电压(电缆长度以200 m 计算,与避雷针距离zui近以100 m、zui远以300 m 计算), 这么高的电压必定会损坏仪表。
2 电涌防护器原理
一套完整的电子设备防雷系统应建立三维防护体系, 即防直击雷、防感应雷电波侵入、防雷电电磁感应、防地电位反击以及操作引起的瞬间过电压影响等。由于高位露天液位测量系统较小,所以只考虑雷电电磁脉冲对电源线路和信号线路的感应过电压入侵, 并同时考虑等电位的连接。选用了菲尼克斯公司生产的3 种SPD(电涌保护器): 用于二次仪表220 V AC 电源的SPD 是PT 2-PE/S-230AC/FM, 其电路如图1 所示; 用于二次仪表输入信号的SPD 是PT 1×2-24DC, 其电路如图2 所示; 用于现场变送器的SPD 是S-PTEX-24DC, 其电路如图3 所示。
(1)图1 电路由气体放电管(粗保护)、压敏电阻(细保护)、发光二极管、熔丝组成。IN 端接电涌电流来向, OUT 端接被保护设备, 端子L 和N 分别接1 对220 V 火线、零线。端子3 和4 端子任选1 个接地, 如果金属导轨已接地, 此接地线可不接。端子11 和12 接1 对开关量报警回路。当电涌电流从IN 端进入SPD, 细保护压敏电阻在25 ns 内启动, 限制火线、零线之间出现过电压。当火线或零线电压抬升至940 V 以上时,粗保护气体放电管在100 ns 内击穿, 对地放电,可泄放10 kA(8/20 μs)电涌电流, 压敏电阻限制电压至1.1 kV, 泄放完成后各器件恢复常态。当

压敏电阻损坏时, 熔丝熔断, 发光二极管导通发出红光, 提示更换, 同时, 端子11 和12 由常闭变常开, 提供开关量报警。
(2)图2 电路由气体放电管(粗保护)、退偶电阻、抑制二极管(细保护)组成。IN 端接电涌电流来向, OUT 端接被保护设备, 端子7 和11 接1对4~20 mA 和24 V 模拟量信号线, 对应的端子8 和12 接被保护设备。端子9 和10 接屏蔽层。
端子3 和4 任选1 个接地, 如果金属导轨已接地, 此接地线可不接。端子9 和10 与3 和4 之间是1 个可选的气体放电管, 作用是当系统要求将防雷保护地与测量系统的抗干扰地分开时, 既能在正常时提高测量系统的抗干扰能力, 又能在雷电发生时通过气体放电管瞬间导通, 保证两地的等电位要求。在正常工况时仪表信号线上的电压为24 V DC, 抑制二极管动作, 不影响仪表正常工作, 当电涌电流从IN 端进入SPD, 2 根信号线产生大于40 V 差模电压时, 细保护抑制二极管在1 ns 内导通, 使电压钳位在40 V, 防止差模电压过大损坏二次仪表。当2 根信号线中的任1根对地电压大于360 V 时, 粗保护气体放电管在100 ns 内导通, 保证2 根信号线对地的共模电压不大于360 V, 保护二次仪表不会由于共模电压过高而被击穿。电路中的退偶电阻起到升压作用, 气体放电管可泄放10 kA(8/20 μs)浪涌电流,抑制二极管可限制电压至40 V, 泄放完成后各器件恢复常态。退偶电阻为2.2 Ω, 根据IEC 标准要求测试, 当退偶电阻为2.2 Ω 时, 粗细两级保护的能量配合zui佳。

(3)图3 电路由气体放电管(粗保护)、抑制二极管(细保护)组成。端子BN 和BL 并接1 对4~20 mA, 24 V 模拟量信号线, 端子BK 接地。当电涌电流从线路进入SPD, 细保护抑制二极管在1 ns 内启动, 实现瞬间等电位, 当电压抬升至360 V 以上时, 粗保护气体放电管在100 ns 内击穿, 对地放电, 可泄放10 kA(8/20 μs)浪涌电流,抑制二极管可限制电压至65 V, 泄放完成后各器件恢复常态。抑制二极管组成桥电路, 可降低回路电容。

该SPD 拧在变送器的1 只穿线孔上, 能保护变送器的1 对信号线, 变送器的外壳对地电位不大于360 V, 信号线之间电压不大于65 V, 可有效防止雷电过电压对变送器的损坏。
3 水箱液位计测量系统防雷的实施
山顶水箱液位计 测量接线如图4 所示, 图中接地点A 和B 连接在山顶水箱周围为防雷要求新做的接地网上, 接地电阻小于10 Ω。此接地网未与仪表室内的接地网相连, 原因是两地距离较远, 施工不便; 当雷电感应时, 变送器内部元器件及周围的水箱、地面电位同时升高, 不会造成变送器的损坏。若A 点和B 点与仪表室的地相连, 则两点的电位差为零, 变送器内部元器件对变送器和外壳存在电位差, 电位差过大时将引起变送器损坏。仪表室内的接地点C, D, E 点及控制柜的外壳都接在同一个接地母排上。
由图4 可知, 变送器侧的SPD 与变送器的接线端子并联, 当雷电冲击电压或冲击电流超过保护值时, 能瞬间把雷电流引入地下, 保护设备对地电压在低压值, 从而不损坏变送器。

二次仪表与SPD 串联接线, 当雷电冲击电压、冲击电流沿电缆进入仪表室时, SPD 能瞬间把雷电流引入地下, 从而不会损坏二次仪表。当雷电冲击电压、冲击电流沿220 V AC 供电电源入侵时, 电源侧的SPD 能瞬间把雷电流引入地下, 从而保护仪表免遭损坏。
4 结语
本系统改造方案简单, 并按防雷规范要求进行设计与施工, 取得了较好的防雷效果。
上一条:磁翻板液位计的产品特点及市场销售情况特点总结
下一条:浮球液位计在蓄水池带液状态下的具体安装方法介绍
用户企业的生活用水系统设置有2 只水箱, 一只设置在汽机房的房顶, 标高45 m, 另一只设置在厂区的山坡上, 标高48 m。山顶水箱液位计 由装在水箱上的投入式变送器进行测量, 变送器通过200 多米的铠装控制电缆与二次仪表联接组成水位测量系统, 电缆未进行埋地敷设。每当雷雨天时, 山坡上的水箱液位计 变送器、综合水泵房内的二次仪表常因雷击而损坏, 采取铠装电缆铠包接地、二次仪表接地等措施仍不能解决雷击问题。

1 雷击损坏原因分析
雷击损坏仪表有2 种情况, 一种是直接雷击到液位变送器或电缆上, 另一种是由于雷电电磁脉冲在测量系统的电缆上感应出高电压而损坏测量系统。
山顶水箱虽然标高较高, 但不是在山的zui高点, 在离水箱100 多米处还有移动手机基站, 其标高高于水箱, 基站设有防直击雷的避雷针, 水箱水位变送器在避雷针的保护范围内, 所以山顶水箱受直击雷的概率较小。
避雷针的作用是把雷电引向自身, 从而使保护区范围内的被保护对象免遭直接雷击。但避雷针的引雷作用也会增加保护区域雷击概率, 只不过雷击电流通过避雷针引入了地下, 保护范围内的设备雷电流流过的概率大大减小。
避雷针在把强大的雷击电流引入地下的过程中, 由于雷电流陡度di/dt 的作用, 在其周围金属体内产生感应电压, 即感应脉冲过电压, 其影响范围很大。如一个30 kA 的中等雷落在避雷针上所产生的感应脉冲过电压为:

式中: a 为雷电流引线与被感应导体间的平行距离; di/dt=30/26≈11.5 kA/μs。30 kA 的雷击在避雷针周围导体上耦合出的感应脉冲过电压值如表1 所示。

由表1 可以看出, 避雷针周围500 m 范围内的电子仪表设备都是感应雷破坏的对象, 并可计算出在液位测量系统的电缆上可能会感应出320~840 kV 脉冲过电压(电缆长度以200 m 计算,与避雷针距离zui近以100 m、zui远以300 m 计算), 这么高的电压必定会损坏仪表。
2 电涌防护器原理
一套完整的电子设备防雷系统应建立三维防护体系, 即防直击雷、防感应雷电波侵入、防雷电电磁感应、防地电位反击以及操作引起的瞬间过电压影响等。由于高位露天液位测量系统较小,所以只考虑雷电电磁脉冲对电源线路和信号线路的感应过电压入侵, 并同时考虑等电位的连接。选用了菲尼克斯公司生产的3 种SPD(电涌保护器): 用于二次仪表220 V AC 电源的SPD 是PT 2-PE/S-230AC/FM, 其电路如图1 所示; 用于二次仪表输入信号的SPD 是PT 1×2-24DC, 其电路如图2 所示; 用于现场变送器的SPD 是S-PTEX-24DC, 其电路如图3 所示。
(1)图1 电路由气体放电管(粗保护)、压敏电阻(细保护)、发光二极管、熔丝组成。IN 端接电涌电流来向, OUT 端接被保护设备, 端子L 和N 分别接1 对220 V 火线、零线。端子3 和4 端子任选1 个接地, 如果金属导轨已接地, 此接地线可不接。端子11 和12 接1 对开关量报警回路。当电涌电流从IN 端进入SPD, 细保护压敏电阻在25 ns 内启动, 限制火线、零线之间出现过电压。当火线或零线电压抬升至940 V 以上时,粗保护气体放电管在100 ns 内击穿, 对地放电,可泄放10 kA(8/20 μs)电涌电流, 压敏电阻限制电压至1.1 kV, 泄放完成后各器件恢复常态。当

压敏电阻损坏时, 熔丝熔断, 发光二极管导通发出红光, 提示更换, 同时, 端子11 和12 由常闭变常开, 提供开关量报警。
(2)图2 电路由气体放电管(粗保护)、退偶电阻、抑制二极管(细保护)组成。IN 端接电涌电流来向, OUT 端接被保护设备, 端子7 和11 接1对4~20 mA 和24 V 模拟量信号线, 对应的端子8 和12 接被保护设备。端子9 和10 接屏蔽层。
端子3 和4 任选1 个接地, 如果金属导轨已接地, 此接地线可不接。端子9 和10 与3 和4 之间是1 个可选的气体放电管, 作用是当系统要求将防雷保护地与测量系统的抗干扰地分开时, 既能在正常时提高测量系统的抗干扰能力, 又能在雷电发生时通过气体放电管瞬间导通, 保证两地的等电位要求。在正常工况时仪表信号线上的电压为24 V DC, 抑制二极管动作, 不影响仪表正常工作, 当电涌电流从IN 端进入SPD, 2 根信号线产生大于40 V 差模电压时, 细保护抑制二极管在1 ns 内导通, 使电压钳位在40 V, 防止差模电压过大损坏二次仪表。当2 根信号线中的任1根对地电压大于360 V 时, 粗保护气体放电管在100 ns 内导通, 保证2 根信号线对地的共模电压不大于360 V, 保护二次仪表不会由于共模电压过高而被击穿。电路中的退偶电阻起到升压作用, 气体放电管可泄放10 kA(8/20 μs)浪涌电流,抑制二极管可限制电压至40 V, 泄放完成后各器件恢复常态。退偶电阻为2.2 Ω, 根据IEC 标准要求测试, 当退偶电阻为2.2 Ω 时, 粗细两级保护的能量配合zui佳。

(3)图3 电路由气体放电管(粗保护)、抑制二极管(细保护)组成。端子BN 和BL 并接1 对4~20 mA, 24 V 模拟量信号线, 端子BK 接地。当电涌电流从线路进入SPD, 细保护抑制二极管在1 ns 内启动, 实现瞬间等电位, 当电压抬升至360 V 以上时, 粗保护气体放电管在100 ns 内击穿, 对地放电, 可泄放10 kA(8/20 μs)浪涌电流,抑制二极管可限制电压至65 V, 泄放完成后各器件恢复常态。抑制二极管组成桥电路, 可降低回路电容。

该SPD 拧在变送器的1 只穿线孔上, 能保护变送器的1 对信号线, 变送器的外壳对地电位不大于360 V, 信号线之间电压不大于65 V, 可有效防止雷电过电压对变送器的损坏。
3 水箱液位计测量系统防雷的实施
山顶水箱液位计 测量接线如图4 所示, 图中接地点A 和B 连接在山顶水箱周围为防雷要求新做的接地网上, 接地电阻小于10 Ω。此接地网未与仪表室内的接地网相连, 原因是两地距离较远, 施工不便; 当雷电感应时, 变送器内部元器件及周围的水箱、地面电位同时升高, 不会造成变送器的损坏。若A 点和B 点与仪表室的地相连, 则两点的电位差为零, 变送器内部元器件对变送器和外壳存在电位差, 电位差过大时将引起变送器损坏。仪表室内的接地点C, D, E 点及控制柜的外壳都接在同一个接地母排上。
由图4 可知, 变送器侧的SPD 与变送器的接线端子并联, 当雷电冲击电压或冲击电流超过保护值时, 能瞬间把雷电流引入地下, 保护设备对地电压在低压值, 从而不损坏变送器。

二次仪表与SPD 串联接线, 当雷电冲击电压、冲击电流沿电缆进入仪表室时, SPD 能瞬间把雷电流引入地下, 从而不会损坏二次仪表。当雷电冲击电压、冲击电流沿220 V AC 供电电源入侵时, 电源侧的SPD 能瞬间把雷电流引入地下, 从而保护仪表免遭损坏。
4 结语
本系统改造方案简单, 并按防雷规范要求进行设计与施工, 取得了较好的防雷效果。
上一条:磁翻板液位计的产品特点及市场销售情况特点总结
下一条:浮球液位计在蓄水池带液状态下的具体安装方法介绍
- 相关文章
-
- 雷达液位计的作用 【2025-11-18】
- 雷达液位计使用注意事项 【2025-11-18】
- 雷达液位计安装注意事项全解析 【2025-11-14】
- 雷达液位计工作原理及相关说明 【2025-11-14】
- 磁翻板(浮子)液位计的显示器面板上翻柱(翻板)无显示的故障分析 【2016-09-06】
- 单法兰液位变送器和双法兰 【2024-01-01】
- 静压式液位变送器温度补偿 【2023-12-18】
- 液位变送器电流检测不出来 【2024-01-01】
- 外夹式超声波流量计在管道上的安装及使用注意事项说明 【2015-11-04】
- 液位变送器放的深度 【2024-01-06】








