- 雷达液位计料位计系列产品
- 压力/液位/差压/密度变送器
- 液位仪表系列
- 流量仪表系列
- 物位仪表系列
- 液位/温度/压力/流量-报警仪
- PLC/DCS自动化控制监控系统
- GPRS无线远传装置
- 有纸/无纸记录仪系列
- 温度仪表系列
- 分析仪|检测仪|校验仪系列
全国销售热线:400-9280-163
电话:86 0517-86917118
传真:86 0517-86899586
销售经理:1560-1403-222 (丁经理)
139-1518-1149 (袁经理)
业务QQ:2942808253 / 762657048
网址:https://www.harzkj.com
电话:86 0517-86917118
传真:86 0517-86899586
销售经理:1560-1403-222 (丁经理)
139-1518-1149 (袁经理)
业务QQ:2942808253 / 762657048
网址:https://www.harzkj.com
差压式液位计测量氨罐液位时如何做到精确测量
发表时间:2020-05-19 点击次数:1014 技术支持:1560-1403-222
针对法兰式差压液位计在氨罐液位测量过程中,存在液氨密度受温度、压力的影响所带来测量误差,在分析误差产生的原因后,提出线性插值法进行温度补偿的解决办法。在此基础上,利用集散控制系统软件提供的二维折线表,首先实现密度-温度的分段线性处理,在准确求出液氨密度后,进一步利用液位-密度之间的关系算出氨罐液位.经调试运行,此测量方案在液氨测量过程中,在不增加成本的前提下,具有测量精度高、响应速度快、可靠性高、经济性好等优点。
1 引言
双法兰差压式液位计在氨罐液位测量过程中,液氨密度易受温度的影响且液氨密度随温度呈非线性变化,液氨密度和温度之间的关系可查阅相关手册[1]。如果不考虑密度变化的因素把液氨密度作为一个常数处理必定会带来测量误差,严重的时候,由密度变化带来的测量误差达到1%以上,为***测量氨罐液位,姚玉凤、王伟等人提出了在0-30℃范围内近似线性化液氨密度-温度之间的关系,经线性化回归处理,液氨密度ρ=0.639-0.00415t[2-3], 据此对液氨密度进行温度补偿。在此基础上,本文提出利用插值法对液氨密度-温度分段线性化,可利用DCS软件提供的二维折线表,***多分成10 段进行线性化处理,可得到更好的线性化处理效果,从而取得更高的测量精度。
2 双法兰差压式液位计在氨罐液位测
量过程中的系统误差分析
根据静压公式,图1 所示液氨液位H 可按根据式
(1)算出

H 液氨液位,ρ0表示毛细管填充液密度,h2表示上下
双法兰的高度差,ρ表示液氨密度。
由式(1)可知,液位测量精度包括:
A.介质密度ρ的变化带来的误差;
其中,毛细管中氟油或者硅油密度受环境温度影响较小,所带来的测量误差可忽略不计,因此液氨液位测量误差主要包括差压变送器的误差和液氨密度变化所带来的误差。根据现在的制造水平,差压变送器的测量误差很小,因此,双法兰差压式液位变送器的测量误差主要取决于介质密度的变化带来的误差。
B.毛细管填充液(氟油或者高温硅油)密度的变化带来的误差;
C.差压变送器测量误差。
3 液氨密度和压力、温度之间的关系
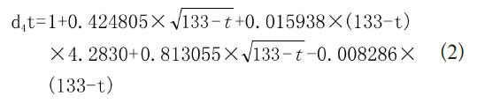
液氨压力对密度的影响主要通过压力P0影响温度来体现,故液氨密度主要考虑温度因素,在-50℃至50℃范围内,液氨的相对密度d4t和温度t之间的关系见式(2):

根据(2)式可知,液氨密度和温度之间呈非线性关系,在测量过程中,如果把液氨密度作为常数来处理,必然会带来测量误差。
4 液氨密度的温度补偿
为减小测量误差,提高测量精度,在测量过程中必须考虑对密度进行温度补偿,方法主要有下列两种。
4.1 利用式密度-温度表达式完成温度补偿
严格按照表达式(2)进行温度补偿,在DCS 测控系统中,利用加减乘除及开方模块完成1-1 表达式对密度进行修正达到从而达到温度补偿的目的。这种方法补偿精度高,但是计算量大,会大量占用计算机的CPU模块资源。
4.2 利用DCS折线表完成温度补偿
折线表利用完成温度—密度补偿时,可把温度—密度的非线性曲线近似分为10 段直线,在测出温度后,可利用插值法求出相应的密[7]。DCS组态如下:
查阅设计手册确定0—30℃范围内液氨温度—密度对照表1[1]。根据表1 所示温度—密度关系表可在DCS 组态软件中生成液氨温度—密度折线表如图2。

图2 中,X 表示某一温度占总量程的百分比,Y 表示某一温度对应的密度。假设温度检测仪表的测量范围为0—50℃,3℃为量程的6%,其对应的数值为0.06,按照表1 所示3℃时,其对应密度为0.634451Kg/L。故输入X为0.06时,对应的密度Y为0.63445。把液氨温度(0-30℃)分成10 段(0℃,3℃,6℃…30℃),其对应为量程的0% ,6%…60%转换为0.1,0.06…06。再按上述方法填写对应的密度。即可得序号为0 的折线表二维折线表。
在生成折线表后,通过控制算法组态完成折线表组态如图3。图3 中X 端输入位号TI_101.PV 表示液氨温度传感器在DCS主控卡中对应输入映像寄存单元,0 折线表序号,DT_101为自定义变量。完成折线表组态后,DCS将采集到液氨温度的动态数据进行线性插值处理后的结果(密度)保存到自定义变量DT_101 中。

在液氨密度完成温度补偿后,可进一步调用算法模块完成(1)式所示算法,即可算出液位高度H。
5 结束语
归一化处理,是在整个量程范围内把温度—密度非线性曲线近似为一根曲线,而利用二维折线表把把温度—密度曲线分为10 段进行线性化处理,故可以取得更好的线性化效果,从而有效降低温度变化带来的液位测量误差。在实际应用过程中,还可根据液氨的实际存藏温度确定补偿温度范围(如20-35℃),在缩小补偿温度范围后,线性化效果会更好。此外,无论是常温还是常压下存藏,都可利用二维折线表对液氨密度进行温度补偿。从测量的介质来说,除液氨外,对于甲醇等密度易受温度影响液体液位测量都可以采用二维折线表进行密度补偿。从成本的角度来说,在保障测量精度的基础上,按照目前的市场行情,在相同的测量效果的情况下,采用双法兰差压式液位计在比常用的磁滞伸缩液位计价格低25%左右,因此具有良好的经济性。
上一条:采用两段或多段方式安装的远传磁翻板液位计输出一个显示值的方案介绍
下一条:静压投入式液位计安装注意事项及日常维护与清洗步骤

1 引言
双法兰差压式液位计在氨罐液位测量过程中,液氨密度易受温度的影响且液氨密度随温度呈非线性变化,液氨密度和温度之间的关系可查阅相关手册[1]。如果不考虑密度变化的因素把液氨密度作为一个常数处理必定会带来测量误差,严重的时候,由密度变化带来的测量误差达到1%以上,为***测量氨罐液位,姚玉凤、王伟等人提出了在0-30℃范围内近似线性化液氨密度-温度之间的关系,经线性化回归处理,液氨密度ρ=0.639-0.00415t[2-3], 据此对液氨密度进行温度补偿。在此基础上,本文提出利用插值法对液氨密度-温度分段线性化,可利用DCS软件提供的二维折线表,***多分成10 段进行线性化处理,可得到更好的线性化处理效果,从而取得更高的测量精度。
2 双法兰差压式液位计在氨罐液位测
量过程中的系统误差分析
根据静压公式,图1 所示液氨液位H 可按根据式
(1)算出

H 液氨液位,ρ0表示毛细管填充液密度,h2表示上下
双法兰的高度差,ρ表示液氨密度。
由式(1)可知,液位测量精度包括:
A.介质密度ρ的变化带来的误差;
其中,毛细管中氟油或者硅油密度受环境温度影响较小,所带来的测量误差可忽略不计,因此液氨液位测量误差主要包括差压变送器的误差和液氨密度变化所带来的误差。根据现在的制造水平,差压变送器的测量误差很小,因此,双法兰差压式液位变送器的测量误差主要取决于介质密度的变化带来的误差。
B.毛细管填充液(氟油或者高温硅油)密度的变化带来的误差;
C.差压变送器测量误差。
3 液氨密度和压力、温度之间的关系
液氨压力对密度的影响主要通过压力P0影响温度来体现,故液氨密度主要考虑温度因素,在-50℃至50℃范围内,液氨的相对密度d4t和温度t之间的关系见式(2):

根据(2)式可知,液氨密度和温度之间呈非线性关系,在测量过程中,如果把液氨密度作为常数来处理,必然会带来测量误差。
4 液氨密度的温度补偿
为减小测量误差,提高测量精度,在测量过程中必须考虑对密度进行温度补偿,方法主要有下列两种。
4.1 利用式密度-温度表达式完成温度补偿
严格按照表达式(2)进行温度补偿,在DCS 测控系统中,利用加减乘除及开方模块完成1-1 表达式对密度进行修正达到从而达到温度补偿的目的。这种方法补偿精度高,但是计算量大,会大量占用计算机的CPU模块资源。
4.2 利用DCS折线表完成温度补偿
折线表利用完成温度—密度补偿时,可把温度—密度的非线性曲线近似分为10 段直线,在测出温度后,可利用插值法求出相应的密[7]。DCS组态如下:
查阅设计手册确定0—30℃范围内液氨温度—密度对照表1[1]。根据表1 所示温度—密度关系表可在DCS 组态软件中生成液氨温度—密度折线表如图2。

图2 中,X 表示某一温度占总量程的百分比,Y 表示某一温度对应的密度。假设温度检测仪表的测量范围为0—50℃,3℃为量程的6%,其对应的数值为0.06,按照表1 所示3℃时,其对应密度为0.634451Kg/L。故输入X为0.06时,对应的密度Y为0.63445。把液氨温度(0-30℃)分成10 段(0℃,3℃,6℃…30℃),其对应为量程的0% ,6%…60%转换为0.1,0.06…06。再按上述方法填写对应的密度。即可得序号为0 的折线表二维折线表。
在生成折线表后,通过控制算法组态完成折线表组态如图3。图3 中X 端输入位号TI_101.PV 表示液氨温度传感器在DCS主控卡中对应输入映像寄存单元,0 折线表序号,DT_101为自定义变量。完成折线表组态后,DCS将采集到液氨温度的动态数据进行线性插值处理后的结果(密度)保存到自定义变量DT_101 中。

在液氨密度完成温度补偿后,可进一步调用算法模块完成(1)式所示算法,即可算出液位高度H。
5 结束语
归一化处理,是在整个量程范围内把温度—密度非线性曲线近似为一根曲线,而利用二维折线表把把温度—密度曲线分为10 段进行线性化处理,故可以取得更好的线性化效果,从而有效降低温度变化带来的液位测量误差。在实际应用过程中,还可根据液氨的实际存藏温度确定补偿温度范围(如20-35℃),在缩小补偿温度范围后,线性化效果会更好。此外,无论是常温还是常压下存藏,都可利用二维折线表对液氨密度进行温度补偿。从测量的介质来说,除液氨外,对于甲醇等密度易受温度影响液体液位测量都可以采用二维折线表进行密度补偿。从成本的角度来说,在保障测量精度的基础上,按照目前的市场行情,在相同的测量效果的情况下,采用双法兰差压式液位计在比常用的磁滞伸缩液位计价格低25%左右,因此具有良好的经济性。
上一条:采用两段或多段方式安装的远传磁翻板液位计输出一个显示值的方案介绍
下一条:静压投入式液位计安装注意事项及日常维护与清洗步骤
- 相关文章
-
- 雷达液位计的作用 【2025-11-18】
- 雷达液位计使用注意事项 【2025-11-18】
- 雷达液位计安装注意事项全解析 【2025-11-14】
- 雷达液位计工作原理及相关说明 【2025-11-14】
- 投入式液位变送器企业 【2023-12-23】
- 静压式液位变送器怎样调校 【2023-12-18】
- 静压液位变送器安装方法 【2024-01-07】
- 双法兰液位变送器现场安装 【2024-01-08】
- 简述磁翻板液位计的产品特点及如何实现防爆功能 【2018-10-16】
- 影响蒸汽涡街流量计在现场测不准的因素有哪些 【2017-01-22】








